следуйте за нами:
Новости
Выставка Технические статьи Новости компании
Дом  /  Новости
В чем смысл повторяемости?
Преимущества и недостатки различных методов определения размера частиц
11-я Мюнхенско-Шанхайская выставка аналитической биохимии!
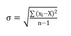
Метод расчета повторяемости и погрешности
Ответы на часто задаваемые вопросы об анализаторах размера частиц(3)
Связаться с нами
СВЯЖИТЕСЬ С НАМИ

Авторские © права принадлежат Jinan Winner Particle Instrument Stock Co., Ltd. Все права защищены | Карта сайта  

ЗАКАЗЫВАЙТЕ СЕЙЧАС!