Это закон Стокса в центробежном состоянии. где ω - угловая скорость центрифуги, а r - расстояние от частицы до оси вращения. Из-за высокой скорости центрифуги w2r намного превышает ускорение свободного падения g, поэтому скорость осаждения Vc той же частицы при центрифугировании будет намного больше скорости осаждения V под действием силы тяжести. Вот почему центробежное осаждение может сократить время проведения испытаний.
Из закона Стокса видно, что до тех пор, пока измеряется скорость осаждения частицы, можно определить ее размер.
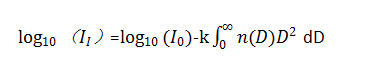
Однако в процессе реального измерения размера частиц в жидкости содержится много частиц разного размера, поэтому трудно непосредственно измерить скорость осаждения каждой частицы. Таким образом, скорость изменения интенсивности света, проходящего через суспензию со временем, используется для косвенного отражения частиц. Скорость осаждения. Количественная зависимость между интенсивностью света и размером частиц может быть описана законом Бира:

Через Бытьсогласно закону эра, мы можем получить распределение частиц по размерам, измеряя интенсивность света в разное время, чтобы получить скорость изменения интенсивности света.
Авторские © права принадлежат Jinan Winner Particle Instrument Stock Co., Ltd. Все права защищены | Карта сайта