Каждый метод измерения размера частиц предназначен для измерения определенных физических свойств частиц при различных исходных данных, и различные средние результаты могут быть получены в соответствии с различными методами (такими как D [4,3], D [3,2] и т.д.), но какой средний размер частиц следует использовать? Возьмем простой пример с двумя сферами диаметром 1 и 10. Для металлургической промышленности, если вы вычислите простое число средних диаметров частиц, результат будет равен D [1,0] =(1+10)/2=5.5. Но если вас интересует масса вещества, а масса является кубической функцией диаметра, то сфера диаметром 1 имеет масса равна 1, а сфера диаметром 10 имеет массу 1000. Другими словами, большая сфера составляет 99,9% от общей массы системы. В металлургии при падении сферы с размером частиц 1 теряется только 0,1% от общей массы. Следовательно, простое среднее число не может точно отражать массу системы, но D [4,3] может лучше отражать среднюю массу частиц.
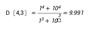
В примере с двумя сферами, приведенном выше, средний размер частиц матрицы массы и объема вычисляется следующим образом:

Это значение является достаточно адекватным показателем качества системы, что важно для некоторых отраслей промышленности.
Но в чистых помещениях, где производятся крупномасштабные интегральные схемы, количество или концентрация частиц - это все, что имеет значение, потому что, если частица попадет на кремниевый чип, возникнет дефект, и изделие может выйти из строя. Необходим метод, позволяющий напрямую измерять количество или концентрацию частиц. Для подсчета частиц достаточно их количества; в данном случае размер частиц не имеет значения.
Авторские © права принадлежат Jinan Winner Particle Instrument Stock Co., Ltd. Все права защищены | Карта сайта