следуйте за нами:
Технические статьи
Выставка Технические статьи Новости компании
Дом  /  Новости  /  Технические статьи
Способ испытания модифицированного карбоната кальция с помощью лазерного анализатора размера частиц
Как измеряется гранулометрический состав цветных пигментов?
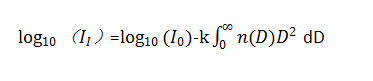
Принцип определения размера частиц седиментационным методом — закон Стокса (2)
Принцип определения размера частиц седиментационным методом — закон Стокса (1)
Сравнение результатов детектирования с помощью технологии электронной микроскопии и результатов детектирования при динамическом рассеянии света
Связаться с нами
СВЯЖИТЕСЬ С НАМИ

Авторские © права принадлежат Jinan Winner Particle Instrument Stock Co., Ltd. Все права защищены | Карта сайта  

ЗАКАЗЫВАЙТЕ СЕЙЧАС!