следуйте за нами:
Технические статьи
Выставка Технические статьи Новости компании
Дом  /  Новости  /  Технические статьи
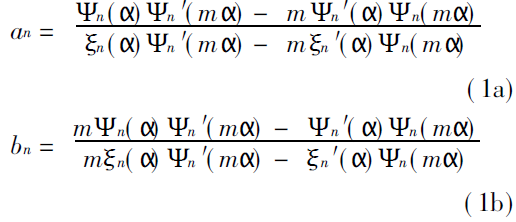
Новый алгоритм определения коэффициента рассеяния Ми (2)
Новый алгоритм определения коэффициента рассеяния Ми (1)
Применение лазерного анализатора размера частиц для определения размера частиц титаната бария(2)
Применение лазерного анализатора гранулометрического состава для определения размера частиц титаната бария (1))
Применение лазерного анализатора размера частиц для определения размера частиц политетрафторэтилена
Связаться с нами
СВЯЖИТЕСЬ С НАМИ

Авторские © права принадлежат Jinan Winner Particle Instrument Stock Co., Ltd. Все права защищены | Карта сайта  

ЗАКАЗЫВАЙТЕ СЕЙЧАС!