1. Вступление
Теория Mie представляет собой строгое аналитическое решение для определения распределения частиц по размерам в desert light [1]. В настоящее время она широко используется в инженерных и технических областях, таких как охрана окружающей среды, энергетика, метеорология, астрономия, двухфазный поток и измерение распределения частиц порошка. Данные измерений поля рассеяния света частицей или группой частиц. Многие физические свойства частиц или групп частиц могут быть определены обратным образом, например, размер частиц, показатель преломления частиц и т.д. [2]. Однако обратный расчет должен быть выполнен заранее. В 1968 году Дэйв[3] впервые опубликовал полный метод расчета фильтра Ми, а затем Ленц[4] и Вискомб[5] предложили частичные вычисления. Новый алгоритм. Некоторые люди в Китае также опубликовали свои собственные алгоритмы [6, 7, 8]. Но, как правило, эти алгоритмы имеют свои ограничения по размеру. Особенно, когда значение мнимой части частиц или пикселей увеличивается, скорость вычислений часто оказывается слишком низкой или происходит переполнение и несходимость. В статье phenomenon представлен новый алгоритм Mie converter, разработанный автором. Размер, характерный для этого алгоритма, заключается в том, что он не ограничен частицами и пикселями, не вызывает переполнения и несходимости и обладает высокой скоростью вычисления.
2. Формула расчета коэффициента Миэ
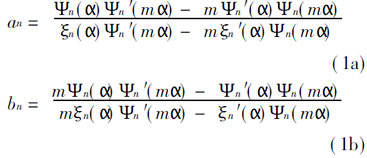
Центральной задачей расчета коэффициента Mie является вычисление коэффициентов an и bn для коэффициента Mie, а их выражения приведены в [9].

где - параметр размера частицы, определяемый как α=nd/λ, d - диаметр частицы, λ - длина волны падающего света в среде, окружающей частицу, и m - относительный комплексный показатель преломления частицы в окружающей среде, то есть, m= m1 + мгновенный доступ2 ( м2< 0)
, где i - мнимая единица. Выражения Θn( Z) и θn( Z) (Z представляет как α, так и ma) являются
ΨN(Z)=(Новая Зеландия/2)Jn+1(Z)
Θn(Z)=Θn(Z)+iXn(Z)
Xn(Z)= (nZ/2)( 1)n-1J-(n-1)(Z)
= (nZ/2)Nn+1(Z)
3. Причины переполнения при вычислениях
Чтобы вычислить коэффициент Mie, вы должны сначала вычислить ΨN и Xn. Обычно используется рекурсивный метод. Рекурсия делится на прямую рекурсию (то есть, начиная с n = 0) и жесткую рекурсию (то есть, начиная с n = N до n = 0, N - это заданное значение). Эксперименты показывают, что прямое нажатие всегда быстрее, чем жесткое нажатие. Начальные значения Θn и Xn

Из анализа двух приведенных выше уравнений видно, что когда m2≈0, если размер частиц d очень велик, или значение мнимой части m2 из-за того, что комплексный показатель преломления очень велик, произведение m2 d будет очень большим, что может привести к тому, что термин exp(- m2 α в двух уравнениях ) =exp ( - π m2d/ λ) Значение превышает лимит данных компьютера, что приводит к переполнению. Это является важной причиной переполнения. Кроме того, неподходящие алгоритмы также могут привести к переполнению в процессе рекурсии.
Авторские © права принадлежат Jinan Winner Particle Instrument Stock Co., Ltd. Все права защищены | Карта сайта