1.Новый алгоритм an и bn
Для решения вышеуказанных задач автор предложил новый алгоритм. Преобразуем формулы an и bn следующим образом: пусть

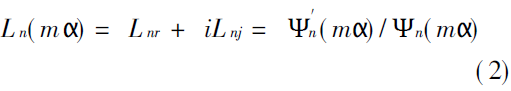
Среди них Lnr и Lnj представляют действительную и мнимую части Ln(m) соответственно. Подставьте уравнение (2) в уравнение (1) и используйте anr, anj и bnr, bnj для представления действительной и мнимой частей соответственно. Так что это можно сделать вывод.

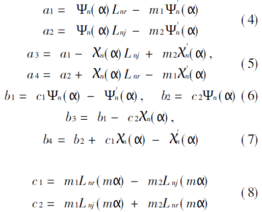
Очень важно использовать форму соотношений в четырех формулах, чтобы избежать значительных переполнений, которые могут возникнуть, когда ai и bi увеличиваются в процессе ввода задержки. Это важная особенность алгоритма, упомянутого выше. Среди приведенных выше четырех формул.

С
все они являются функциями реальных переменных, вычисление не приводит к переполнению. Ключевым моментом является то, как работать с алгоритмом
и
.Это гарантирует, что во время вычисления не произойдет переполнения. В алгоритме Ленца для вычисления значения Ln используется цепная дробь, и его точность гарантируется получением эмпирической формулы для числа усеченных членов N и параметров a и m на основе большого количества вычислений. Такая эмпирическая формула, с одной стороны, имеет практические ограничения, а с другой - приводит к ошибкам усечения. В литературе (6) эта эмпирическая формула была улучшена, но она по-прежнему остается в диапазоне a=1~100, m1=1~2, m2=0~1. Ниже представлен новый алгоритм для Ln, разработанный автором этой статьи. Особенностью этого алгоритма является то, что он не ограничен значениями a и m, не вызывает патологических явлений, таких как переполнение или несходимость, и обладает высокой скоростью вычисления.


Уравнения (3) - (20), выведенные выше, составляют полный алгоритм вычисления коэффициентов Ми an и bn. Поскольку an и bn вычисляются, начиная с n = 1, значения an и bn любого ряда могут быть вычислены с использованием формул начальных значений (16) - (20), поэтому проблема ошибки округления не возникает. Из уравнения (16) видно, что, поскольку y= m2ɑ≤0, независимо от того, какие значения принимают m2 и ɑ, переполнения не будет. Кроме того, формулы в (3) имеют форму соотношений, что позволяет избежать необходимости в вычислениях. переполнение, которое в корне решает проблему переполнения.

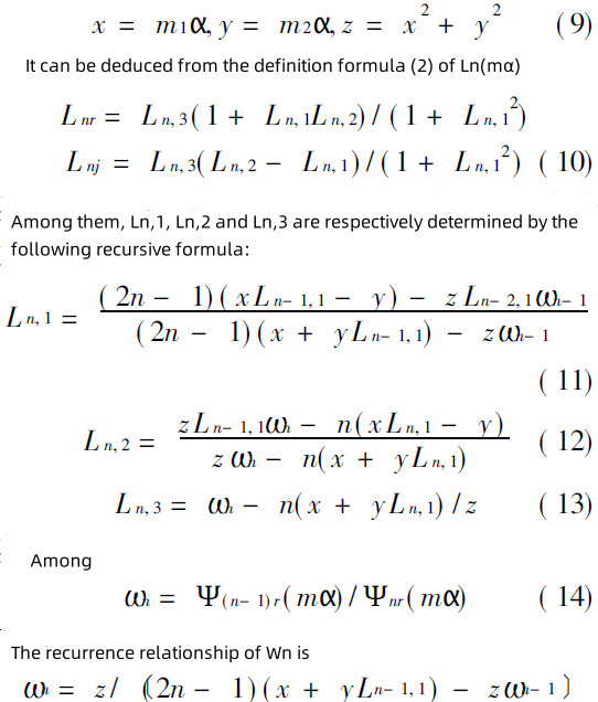
Ξ - минимальный объем данных, передаваемых компьютером с двойной точностью.
На рисунке 1 показан набор примеров расчета интенсивности рассеянного света. Среди них m1=1,33, m2=-0,4 и λ=0,6328 соответствуют диаметрам частиц d=0,001, 1,0 и 30 мкм соответственно. Рисунок d представляет собой частичное увеличение картины рассеяния при диаметре частиц d=100 мкм. Можно видеть, что с увеличением размера частиц рассеяние в прямом направлении быстро усиливается и появляются сложные боковые лепестки.

Изменяется действительная часть (а) и мнимая часть (б). Можно видеть, что с увеличением m1 и m2, хотя размер частиц остается неизменным, рассеяние также усиливается, а обратное рассеяние усиливается с увеличением m1 и m2.

На рисунке 3 показаны результаты расчета коэффициента затухания, где а) и б) представлены изменения коэффициента затухания в зависимости от действительной и мнимой частей показателя преломления соответственно. Можно видеть, что по мере увеличения диаметра частиц коэффициент экстинкции приближается к 2; увеличение показателя преломления, особенно увеличение мнимой части показателя преломления, делает этот подход более быстрым и очевидным. Кроме того, когда мнимая часть показателя преломления m2=0, коэффициент затухания колеблется по мере увеличения диаметра частицы; но когда m2≈0, колебания быстро исчезают.

Значение FM(Z), соответствующее максимальной интенсивности света, определяется по приведенной выше формуле. Из приведенной выше формулы также видно, что величина фокусного смещения в этом предельном случае в основном определяется параметрами S0/f и Na.
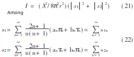
Авторские © права принадлежат Jinan Winner Particle Instrument Stock Co., Ltd. Все права защищены | Карта сайта